Определение скорости автомобиля по тахометру

Тут передаточное число i это общее предаточное число трансмиссии, чтоб получить общее из нескольких, их нужно перемножить (передаточные числа суммируются перемножением)
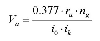
Формула перевода оборотов двигателя в скорость в км/ч при известных передаточных числах: (i включённой передачи) и (i главной пары) и размере покрышки
Скорость в км/ч = 0,377 * (радиус покрышки в метрах) * (обороты двигателя в оборотах в минуту) / (i включённой передачи * i главной пары)
Где Va скорость км/ч, ra — радиус колеса в метрах, ng — обороты двигателя в минуту, i0 — передаточное число главной пары, ik — передаточное числи включённой передачи
Откуда там при переводе оборотов двигателя в км/ч появляется коэффициент 0,377?
Скорость = (угловая скорость) * (радиус)
Скорость в км/ч = (скорость в м/с) * (1000 м в 1 км) / 3600 секунд в 1 часе = т.е. скорость в м/с нужно разделить на 3,6
Перевод оборотов в минуту в уголовую скорость
1 оборот это 360 градусов это 2 Пи в радианах => 2 Пи * (обороты в минуту) = угловая скорость радиан в минуту => чтоб получить угловую скорость радиан в секунду, приходится радианы в минуту делить на 60 секунд в 1 минуте
Коэффициент 2 Пи / 60 дал бы нам скорость в м/с, но чтоб получить км/ч приходится ещё домножать на 3,6
Из этих (2 Пи / 60 х 3,6) и получается 0,377
Радиус покрышки в мертах при размере покрышки XXX / YY R ZZ
Радиус порышки м = ( половина посадочного диаметра диска ZZ / 2 * миллиметров в одном дюйме 25,4 + процент высоты боковины от ширины протектора 0, YY * XXX ) / 1000 миллиметров в метре
УТОЧНЕНИЕ Определение скорости автомобиля по тахометру для МКПП (сцепление не пробуксовывает); для АКПП (с заблокированным на 100% ГТР)
Как определить скорость по тахометру
Тахометр является одним из основных инструментов, которые помогают водителю контролировать скорость движения автомобиля. Однако, не всем водителям понятно, как правильно определить скорость по показаниям тахометра. В данной статье мы расскажем о нескольких простых шагах, которые помогут вам точно определить скорость вашего автомобиля.

Шаг 1: Включите двигатель и дождитесь его прогрева
Перед измерением скорости по тахометру, убедитесь, что двигатель автомобиля полностью прогрет. Это позволит получить более точные показания тахометра.

Шаг 2: Установите автомобиль на нейтраль
Переключите передачу автомобиля в нейтральное положение, чтобы колеса не касались дороги. Это предотвратит движение автомобиля во время измерения скорости.

Шаг 3: Обратите внимание на показания тахометра
При включенном двигателе и автомобиле в нейтральном положении обратите внимание на показания тахометра. Они указывают на обороты двигателя, которые пропорциональны скорости вашего автомобиля.

Шаг 4: Переведите показания в скорость
Используя данные о пропорциональности оборотов двигателя и скорости, вы можете определить скорость вашего автомобиля. Для этого обратитесь к руководству по эксплуатации вашего автомобиля или проконсультируйтесь с профессионалом.
Теперь, когда вы знаете, как определить скорость по показаниям тахометра, вы сможете более точно контролировать скорость своего автомобиля. Помните, что безопасность на дороге — ваш главный приоритет!
Можно ли определить скорость при помощи тахометра
Для начала, необходимо разобраться, что же такое этот тахометр и как он работает. Эти приборы могут быть как контактные, которые непосредственно прикасаются к движущемуся объекту, так и бесконтактные, улавливающие импульсы от датчиков, срабатывающих при определенном движении. Конечно же, существуют и комбинированные тахометры, изменяющие принцип своей работы в зависимости от поставленных условий. А некоторые приборы снабжены и дополнительными функциями, например, аварийной сигнализацией.
Результаты измерения тахометра могут быть представлены в разнообразных физических величинах:
- время (часы, минуты, секунды);
- расстояние (миллиметры, сантиметры, метры, километры и т.д);
- единицы (количество штук, упаковок и т.д)
- скорость (км/ч, м/с и другие).
Если вы пользуетесь такой моделью, которая позволяет изменение единиц измерения, то для определения скорости движения необходимо просто выставить необходимый способ вывода результата на экран. Но как же узнать скорость движения по тахометру, который не может показывать результат в интересующих вас единицах? Для этого достаточно очень подробно изучить имеющийся у вас тахометр и сопоставить единицы измерения, в которых результат выводится с теми единицами, которые вы бы хотели узнать. Например, засечь время, за которое тахометр отсчитал определенное количество единиц или некоторое расстояние и с помощью физических вычислений узнать и скорость, интересующую вас.
Как по тахометру узнать скорость автомобиля?
Авто Дэу Нексия . Сломалась стрелка спидометра. Как можно по тахометру определить скорость автомобиля ?
Потому, что тахометр показывает обороты коленчатого вала двигателя, а они, в свою очередь, могут быть одинаковыми на любой передаче и зависят только от подачи количества топлива в двигатель.
Одни и те же обороты двигателя на переднем ходу и на заднем ни чего Вам не скажут о скорости автомобиля.
Проедьте на аналогичном автомобиле, запомните (или запишите) скорость автомобиля при 2000 об/мин по тахометру при движении последовательно на 1, 2, 3, 4, 5 передачах. Пересчитайте соотношение для 1000 об/мин (чтобы было проще высчитывать скорость). К примеру, если для 5 передачи получилось 80 км/час при 2000 об/мин, то на каждую 1000 получается 40 км/час. Перемножайте фактические показания тахометра на полученный коэффициент и получайте скорость. Только не забывайте при этом следить за дорогой, так как эти вычисления могут сильно отвлекать от управления автомобилем. И надо помнить, что правилами запрещена эксплуатация автомобиля с неисправным спидометром, так что приведенный совет используйте только для поездок с крайней необходимостью, например, чтобы добраться до дома, или до СТО для ремонта или замены спидометра. Кстати, ни разу не встречал, чтобы сломалась именно стрелка спидометра. Обычно спидометр перестает работать из-за выхода из строя тросика привода (или неполадок в проводке при электрическом приводе) или самого привода спидометра.